Nasza firma rywalizuje z Meteorem w przetargu na komunikację miejską w Lublinie.
Jednym z najważniejszych dokumentów, jakie trzeba przedstawić w postępowaniu przetargowym są REFERENCJE potwierdzające przejechanie przez przewoźnika, co najmniej 3 500 000 kilometrów.
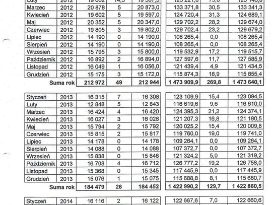
Zakład Usług Komunalnych w Tczewie dnia 30.12.2014 r. wystawił Meteorowi REFERENCJE, z których wynika, że Meteor jest prawie idealnym przewoźnikiem, bo w Tczewie wykonał ponad 99,99% zaplanowanych kursów autobusowych. Z dokumentów przesłanych przez ZUK wynika, że w okresie od stycznia 2012 do czerwca 2014r. zaplanowano łącznie prawie pół miliona kursów autobusowych (dokładnie 476 056), z których Meteor nie wykonał tylko 80. W naszej ocenie takiego wyniku nie da się osiągnąć. W miastach są korki, autobusy ulegają awariom, zdarzają się wypadki, opady śniegu, gołoledź itd. Z informacji przedstawianych przez ZUK wynika, że w Tczewie sytuacje takie prawie nie miały miejsca. My obawiamy się jednak, że w zestawieniu przesłanym przez ZUK są błędy. Jako jeden z przykładów potwierdzających nasze obawy wskazujemy, że w listopadzie 2013 r. pomimo tego, że wykonano o 23 kursy autobusowe mniej niż zaplanowano, to i tak przejechano dokładnie tyle samo kilometrów ile zaplanowano i to z dokładnością do 100 metrów. Jak to jest możliwe, tego jednak nie wiemy. Ponadto, jak wskazuje ZUK przez 9 miesięcy METEOR wykonywał 100% kursów. Autobusy wykonały 134 254 zaplanowane kursy i ani jednego mniej!
Szanowni podróżni, mieszkańcy Tczewa !
Zwracamy się do Was z gorącą prośbą o przesyłanie do nas wszelkich informacji i dokumentów, które pomogą nam zweryfikować REFERENCJE wystawione przez Zakład Usług Komunalnych dla firmy METEOR. Szczególnie prosimy o przesyłanie uwag przez pasażerów i kierowców dotyczących okresu od stycznia 2012 do czerwca 2014r. Od Waszej życzliwości może zależeć wynik postępowania przetargowego. Oczywiście zwróciliśmy się oficjalnie do ZUK z prośbą o przekazanie dokumentów, ale obawiamy się, że możemy je otrzymać już po rozstrzygnięciu przetargu w Lublinie.
Autobusowe Konsorcjum Lubelskie
20-115 Lublin, ul. Lubartowska 11
www.facebook.com/PokoraMeteora
e:mail [email protected]














![[WIDEO] Opel uderzył w nastolatka na hulajnodze. Interweniowały służby [WIDEO] Opel uderzył w nastolatka na hulajnodze. Interweniowały służby](https://static2.tczewska.pl/data/articles/sm-4x3-wideo-opel-uderzyl-w-nastolatka-na-hulajnodze-interweniowaly-sluzby-1765799474.jpg)
Napisz komentarz
Komentarze